lunes, 29 de noviembre de 2021

Proporcionalidad I

En esta presentación en video se repasa lo mas importante de la proporcionalidad.

Recuerda poner pausa donde lo requieras y tomar notas.




jueves, 20 de mayo de 2021

Método de suma y resta para resolver sistemas de ecuaciones lineales 2x2

 En el video siguiente se explica de manera completa y clara el método de suma y resta, reducción, o eliminación.


En el video siguiente se muestra una técnica diferente de emplear la suma y resta para resolver ecuaciones. 




lunes, 17 de mayo de 2021

Método de sustitución para resolver sistemas de ecuaciones lineales 2x2

Resolver :

     3x + y = 5

     x  -  2y = -3 

Los pasos son:

  1. Despejar una de las literales en la primer ecuación.
            3x -3x +y = 5  -3 x
                          y = 5 - 3x
  1. Sustituir el valor encontrado de la literal y, en la segunda ecuación  (x - 2y = - 3)
               x - 2 ( 5 - 3x ) = -3
  1. Resolver la ecuación formada para encontrar el valor de la literal.
               x - 10 + 6x = -3
            +7x - 10        = -3
            +7x - 10 +10 = -3 + 10
                +7x           = +7
                +7x/+7       = +7/+7
                            x   =  +1
  1. Sustituir el valor encontrado de la literal en cualquier ecuación para hallar el valor de la otra literal 
                       y = 5 - 3x
                       y= 5 - 3(1)
                       y = 2

En el video se muestra otro ejemplo, pero los despejes los hace de forma mas breve mencionando que "pasa un termino al otro lado del signo igual" sin hacer la resta o suma correspondiente.



domingo, 16 de mayo de 2021

Técnica o método de igualación para resolver un sistema de ecuaciones lineales 2x2

Los pasos a seguir para resolver un sistema de ecuaciones lineales son: 
  1. Se despeja una de las literales de ambas ecuaciones.
  2. Se igualan los valores obtenidos.
  3. Se resuelve la ecuación formada en el paso 2.
  4. Se calcula el valor de la literal que falta.
En el video se muestra como despejar las literales aunque de forma muy simplificada, pero en clase se mostraron los pasos de forma completa.



ADVERTENCIA
Cuando en el video se dice: 
" como 6y esta sumando, lo pasamos restando al lado derecho"
x + 6y =27
        x = 27 - 6y

Lo que significa realmente es que restó 6y a ambos lados de la igualdad.
       x + 6y = 27
x + 6y - 6y = 27 - 6y 
               x  =  27 - 6y

Y así en los demás despejes ...

No dice los pasos intermedios y argumenta que se cambió de signo al termino, lo cual no es matemáticamente correcto pero, es muy común que se exprese de esta manera.




lunes, 22 de febrero de 2021

1.- Sistemas de ecuaciones, formulación de ecuaciones.

Por ejemplo:

1.-  Si las edades de Lupe y Dany suman 24 años ¿Qué edades pueden tener?

Lupe     2         3          4       7      12     14    15      18    20

Dany    22       21        20     17     12     10     9        6       4

Porque:   2 + 22 = 24

               3 + 21 = 24

               4 + 20 = 24

                etc.

Si la edad de Lupe es "x"

y la edad de Dany es "y"

La ecuación correspondiente a la situación anterior es: x + y = 24


2.-  Si Lupe es 4 años mayor que Dany ¿Qué edades pueden tener?

Lupe     4       5         7       10       12       14     15      18    20

Dany    0       1          3         6        8        10     11      14    16

Porque:   4 =  0 + 4

               5 =  1 + 4

               7 =  3 + 4

                etc.

La ecuación correspondiente a la situación anterior es: x =  y + 4

Pero si restamos "y" ambos miembros de esta ecuación tendremos

x - y = y + 4 - y

que es igual a:

x - y = 4


Si reunimos las dos condiciones en un solo problema:

Si las edades de Lupe y Dany suman 23 años, pero Lupe es 4 años mayor que Dany.

¿Qué edades tienen?

El sistema de ecuaciones que permite resolver este problema es:

x+ y = 23

x - y = 4

Si revisamos las tablas anteriores solo cuando x=14 y  y=10 se cumplen ambas condiciones y ecuaciones y por tanto esa es la solución del problema.

domingo, 7 de febrero de 2021

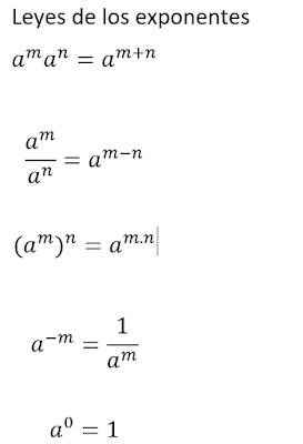
Potencias y operaciones con potencias

Potencia

Cuando se multiplica de forma repetida un número la operación se puede representar en forma de potencia.

Por ejemplo:

 



Y el valor de cada potencia se obtiene realizando la multiplicación que representa
Por ejemplo:

(-2)6  representa (-2)(-2)(-2)(-2)(-2)(-2) por lo que su valor es:  64

 Es decir:

(-2)6  = 64

Producto de potencias

Al multiplicar dos potencias con igual base, el resultado es una potencia con la misma base y exponente igual a la suma de los exponentes de las potencias multiplicadas.








Cociente de potencias

Al dividir dos potencias, la potencia resultante tiene la misma base con un exponente igual al exponente del dividendo menos el exponente del divisor.


Potencia de una potencia

Cuando la bes de una potencia es una potencia, el resultado tiene la  misma base y como exponente el producto de los exponentes.










Método de sustitución para resolver sistemas de ecuaciones lineales 2x2

 Les comparto un video, espero les sirva para entender le método para resolver sistemas de ecuaciones.